|
1、為什么要進行1分鐘級的風電調度實時控制? 風資源的強隨機性、預測困難、反調峰等特點使得電網有功調度控制愈加困難。如何在保證電網安全的前提下, 最大程度利用風電資源, 盡可能多地消納風電已經成為目前各個風電基地面臨的共同挑戰之一。 目前, 業界已經對風電有功調度控制進行了大量研究和工程實踐,初步形成了日前、小時前、分鐘前的多時間尺度時序遞進滾動調度控制模式。但是, 在傳統模式下, 風電出力存在的分鐘級較大幅度快速波動, 只能由AGC機組和網間聯絡線來平衡, 給電網安全經濟調度帶來較大壓力。為此, 本文引入更加快速的1分鐘級實時控制環節, 其主要任務是根據當前電網AGC機組的下旋備裕度和聯絡線計劃實際值與設定值的偏差, 在線確定電網當前最大可消納的風力發電能力, 然后根據各風電場上送的實際出力和最大可發電能力預估值, 進行分鐘級控制決策, 實時修正各風電場的有功出力計劃值, 保障電網安全, 并減少不必要的棄風損失。 2、風電調度實時控制的主要挑戰是什么? ①如何保電網安全? 調峰能力和斷面安全是電網制約風電消納的兩大關鍵因素。保證系統安全性是風電調度實時控制的主要目標; ②如何減少棄風損失? 在保證電網安全的基礎上, 如何充分利用已有風電資源, 減少棄風損失, 是風電調度實時控制的次要目標; ③如何兼顧風電場間的調度公平? 系統內存在多個風電場參與調度控制, 存在多種風電場控制策略組合能實現電網安全和最小棄風, 如何選擇一種對于各風電場盡可能公平的控制策略, 是確保風電調度實時控制公平性的關系所在。 3、如何實現1分鐘級的風電調度分階段決策? 本文引入了分階段決策模型, 根據先安全、后經濟再公平的原則, 進行分階段求解保證系統總是可以得到合理有效解, 如下圖所示。

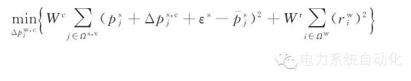
主要關鍵技術: 1、電網可消納風電裕度評估方法: 若不考慮風電送出斷面約束, 電網可消納風電裕度主要取決于電網調峰能力, 由當前AGC機組的實時下旋備、聯絡線偏差、未來負荷變化趨勢綜合計算得出。 2、風電打分指標及公平調節: 傳統意義上的風電“公平調度”類似于“平均調度”, 相當于把風電接納空間結合各風電場的接納能力平均分配到各風電場, 但是, 各風電場自動化水平各不相同, 對電網接入的友好程度也不一樣, 這種“平均式”公平調度, 實際上壓制了各風電場提高場內自動化水平的積極性。在本文方法應用的省級電網, 引入了風電場“打分排序”的概念, 打分值越高, 代表該風電場對電網接入越友好。在實際人工控制中, 依打分結果按輪次進行限電。也就是說, 在限電模式下, 優先利用打分值較高的風電場(表示對電網接入更加友好)風電資源, 各風電場的打分值由風電調度人員結合各風電場對電網的友好程度人工制定并定期(每個月)更新。 3、第1階段決策—斷面越限校正控制: 當電網存在風電送出斷面有功越限時, 啟用斷面越限校正控制, 消除斷面越限。本文建立多目標決策二次規劃模型:

其中第1個目標確保斷面運行安全, 第2個目標確保風電場公平調度; 約束條件主要包括:風電場有功校正量對斷面有功變化的靈敏度約束、避免反調的風電有功調節方向約束、風電場有功出力約束、風電送出斷面可行約束等。 4、第二階段決策—最小棄風控制: 基于充分利用電網的風電接納空間, 恢復被限風電:

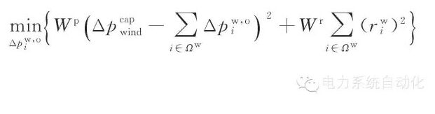
約束條件包括風電送出斷面可行約束、風電場調節能力約束, 電網可消納風電能力約束等。 5、第三階段決策—自由發控制: 風電場最大發電能力是預估值, 可能存在偏差。為此, 本文引入風電場自由發控制模式, 進一步降低風電預測解偏差所帶來的棄風損失:

約束條件包括風電送出斷面可行約束、電網可消納風電能力約束、引入自由發控制方向約束、風電場容量約束等。 4、系統研制及實際效果如何? 基于本文方法研制的實際系統已經實際應用, 下圖分別為電網結構及控制系統結構:


詳細的仿真結果和實際運行結果如正文所示。下圖給出了兩個典型風電場的運行曲線:


可以看出: ①當電網無風電接納空間內, 限制風電出力, 確保安全; ②反之, 恢復風電, 提高風電利用率; ③并提供自由發模式, 減少由于風電預測偏差導致的不必要棄風; ④電網優先利用打分值較高對電網更加友好的風電資源。 5、工作總結及進一步工作: 本文提出并實現分階段風電調度實時控制模型及決策流程。通過第一階段的斷面越限校正控制, 辨識并松弛不可能的風電送出斷面約束, 通過第二階段的最小棄風控制, 最大消納風電并兼顧風場間的公平調度, 通過第三階段的自由發決策, 進一步降低棄風可能,進行標準算例仿真, 并結合現場實際, 研發1分鐘級的風電調度實際控制功能。仿真結果和實際結果證明了本文方法的有效性和可靠性。 作為多時間尺度風電消納框架的重要組成部分, 本文重點闡述在1分鐘級時間維度上風電場之間、風電場與常規AGC機組之間的協調控制。至于在更長時間尺度上考慮風電場、AGC機組與常規較慢速機組之間的協調, 充分挖掘電網和常規電源的調節能力, 使得電網保留足夠調節空間來接納風電是后續研究重點。
|